Mendive. Journal on Education, January-March 2025; 23(1), e4099
Translated from the original in Spanish
Original article
The influence of performance audit on the management of the Peruvian Ministry of Education
La influencia de la auditoría de desempeño en la gestión del Ministerio de Educación peruano
A influência da auditoria de desempenho na gestão do Ministério da Educação do Peru
Manuel Hidalgo Tupia1
0000-0002-9644-2406
mhidalgot@unmsm.edu.pe
Alberto Benjamín Espinoza Valenzuela1
0000-0001-8577-1717
aespinozav@unmsm.edu.pe
Adrián Alejandro Flores Konja1
0000-0001-5952-1909
afloresk@unmsm.edu.pe
Javier Ricardo Melgarejo Morales1
0000-0002-4008-8911
jmelgarejomo@unmsm.edu.pe
1 National Major University of San Marcos. Peru.
Received: 4/01/2025
Accepted: 14/01/2025
ABSTRACT
Performance audits are common in the public sector and in the management of the education sector in Peru. The objective of the article is to present the most appropriate strategies, in the context of a proposal for a change in operational policies, to optimize the performance audit carried out in Peruvian public education. The paradigms of its application in the education sector were identified as its advantages and limitations, considering the adequate use of its budgetary and patrimonial resources, as well as the suitability of its processes and its results; evaluating the effectiveness, efficiency, economy and quality of its educational services in its entirety, the production and delivery of the goods or services it carries out with the purpose of achieving results for the benefit of the citizen. The study population was a set of 15 performance audit reports applied in the education sector. The methodology used was the application of the Multiobjective decision system. Optimization The Ministry of Education has a Ratio Analysis (MOORA) based on a systematic analysis of the audit reports cited and the criteria resulting from the literature review. The results were the identification of three main strategies, named; E1- Strengthening access and quality of information; E2- Training and awareness of the staff of the audited entities, and E3- Effective inter-institutional coordination. The improvement in the management of the Ministry of Education includes the modernization of its control mechanisms, so that the service providers (state organizations) are more effective in their mission of achieving the common good. The management of the Ministry of Education only has a chance of being successful if it has effective control systems.
Keywords: audit; performance; effectiveness; efficiency; quality; public management.
RESUMEN
Las auditorías de desempeño son usuales en el sector público y en la gestión del sector educación en el Perú. El objetivo del artículo es presentar las estrategias más adecuadas, en el contexto de una propuesta de cambio de políticas operativas, para optimizar la auditoría de desempeño realizada en la educación pública peruana. Se identificaron los paradigmas de su aplicación en el sector educación como sus ventajas y limitaciones, considerando el adecuado uso de sus recursos presupuestales y patrimoniales, como la idoneidad de sus procesos y sus resultados; evaluando la eficacia, eficiencia, economía y calidad de sus servicios educativos en su integridad, la producción y entrega de los bienes o servicios que realiza con la finalidad de alcanzar resultados en beneficio del ciudadano. La población de estudio fue un conjunto de 15 informes de auditoría al desempeño aplicados en el sector educación. La metodología utilizada fue la aplicación del sistema de decisión Multiobjective Optimization by Ratio Analysis (MOORA), a partir de un análisis sistemático de los informes de auditoría citados y de criterios resultantes de la revisión de la literatura. Los resultados fueron la identificación de las tres principales estrategias, nombradas; E1- Fortalecimiento del acceso y calidad de la información; E2- Capacitación y sensibilización del personal de las entidades auditadas, y E3- Coordinación interinstitucional efectiva. La mejora en la gestión del Ministerio de Educación incluye la modernización de sus mecanismos de control, para que los prestadores del servicio (las organizaciones del Estado) sean más eficaces en su misión de lograr el bien común. La gestión del Ministerio de Educación solo tiene posibilidad de ser exitosa si cuenta con eficaces sistemas de control.
Palabras clave: auditoría; desempeño; eficacia; eficiencia; calidad; gestión pública.
RESUMO
As auditorias de desempenho são comuns no setor público e na gestão do setor educacional no Peru. O objetivo do artigo é apresentar as estratégias mais adequadas, no contexto de uma proposta de mudança de política operacional, para otimizar a auditoria de desempenho na educação pública peruana. Os paradigmas de sua aplicação no setor educacional foram identificados como suas vantagens e limitações, considerando o uso adequado de seus recursos orçamentários e patrimoniais, bem como a adequação de seus processos e resultados; avaliando a eficácia, a eficiência, a economia e a qualidade de seus serviços educacionais em sua integridade, produção e entrega de bens ou serviços com o objetivo de alcançar resultados em benefício do cidadão. A população do estudo foi um conjunto de 15 relatórios de auditoria de desempenho aplicados no setor educacional. A metodologia utilizada foi a aplicação do sistema de decisão MOORA (Multiobjective Optimization by Ratio Analysis), com base em uma análise sistemática dos relatórios de auditoria citados e dos critérios da revisão da literatura. Os resultados foram a identificação das três principais estratégias, denominadas; E1- Fortalecimento do acesso e da qualidade das informações; E2- Treinamento e sensibilização da equipe das entidades auditadas e E3- Coordenação interinstitucional eficaz. A melhoria da gestão do Ministério da Educação inclui a modernização de seus mecanismos de controle, de modo que os prestadores de serviços (organizações estatais) sejam mais eficazes em sua missão de alcançar o bem comum. A gestão do Ministério da Educação só pode ser bem-sucedida se tiver sistemas de controle eficazes.
Palavras-chave: auditoria; desempenho; eficácia; eficiência; qualidade; gestão pública.
INTRODUCTION
Performance audit is one of the most important areas in the evolution of the supreme audit institutions in Latin America and the Caribbean over the last two decades. From the above, it can be said that apart from evaluating and giving opinions on the management of resources, the audit institutions, through performance audits, aim to recommend and improve it; The implementation of a performance management model in public institutions is not an easy task. To claim that this system is efficient and also manages to develop all its potential is a titanic task, which must face several difficulties and resistance of the same system, as well as obstacles (Johnsen et al., 2019).
In this regard, performance audit is defined as the analysis and evaluation of resource use in a way that is efficient, effective and economical (Victorian Auditor-General's Office, 2018).
Therefore, it is of the utmost importance to address this study regarding the role of performance audit in improving public management, analyzing the education sector as the social impact sector that needs to manage future citizens, On the basis of sound budgetary management, with indicators of efficiency, effectiveness and transparency. To this end, the performance audit is the control instrument that must ensure these social effects as public policies through the generation of tangible results in the use of its budget resources.
A review of the literature suggests that performance audit systems in education not only improve operational efficiency but contribute significantly to program effectiveness by focusing audits on specific educational outcomes and the satisfaction of direct beneficiaries, such as students and teachers (Johnsen et al., 2019). Furthermore, performance audit facilitates the implementation of continuous improvement practices, which is essential in sectors that require constant adaptations due to technological and pedagogical changes (Rana et al., 2021).
Performance audit, in this sense, stands out as a strategic resource to improve efficiency and optimize the use of resources in the education sector. Additional studies suggest that the adoption of international standards in auditing increases transparency in educational processes and allows for a more comprehensive evaluation of results (Brusca et al., 2016). This is particularly relevant in the context of public education, where resource allocation needs to be justified and oriented to maximize the impact on student learning (Jeppesen & Loft, 2017; Pollitt, 2003).
In the Latin American context, performance auditing has contributed significantly to the management of public policies in education. Roseth and Jaramillo (2018) indicate that audits in countries in the region have promoted improvements in educational performance by identifying areas of inefficiency and waste, promoting good management practices and transparency. These audits not only evaluate the fulfillment of objectives, but also generate practical recommendations to improve processes, which is essential in developing educational systems (Guthrie & Parker, 2019).
Likewise, the use of audit methodologies that integrate cost-benefit analysis has been effective in justifying investment in educational programs and ensuring that they meet the criteria of economy, efficiency and effectiveness (Funnell & Wade, 2012). Finally, the use of advanced technologies for tracking and monitoring educational programs facilitates auditing work and improves the quality of reports, thus ensuring the implementation of recommendations and the sustainability of public policies (Power, 1997). International experience, in this regard, highlights the importance of adopting technologies that allow accurate data collection and real-time evaluation of educational results (Jovanoviæ & Pravdiæ, 2010).
A performance audit in the Peruvian education sector, through a results-oriented approach, involves evaluating the efficacy, efficiency and effectiveness of educational policies and programs, providing a clear view of how resources are being used and the impact of policies and programs on educational results. This allows the identification of areas for improvement and the implementation of effective joint strategies through better execution of performance audits, with the aim of helping to achieve the national educational objectives implemented by the education sector in Peru.
This must be related to the four-factor approach: strategic action, comprehensive training, support and resources for the pedagogical processes and results that are contemplated and not quality assurance processes, which are part of the Peruvian State regulations for basic education and university education.
In this sense, the objective of the article is to present the most appropriate strategies, in the context of a proposal for a change in operational policies, to optimize the performance audit carried out in Peruvian public education, analyzing operational, administrative, infrastructure and social aspects that have limited its effectiveness and proposing recommendations and strategies for improvement for the approach of performance audits in the educational sector in Peru, considering the good practices for its execution established by the Comptroller General of the Republic and the particularities of its execution, with the objective of enhancing its contribution to the achievement of the corresponding institutional and social purposes.
MATERIALS AND METHODS
The work responds to a review of performance audits carried out in the education sector, which necessarily requires the collection of information and data based on their execution. Likewise, information from research carried out on the subject through texts and scientific articles used allows for a deeper analysis of the problem raised. The information collected contributes to the discussion on the results of the execution of performance audits and their particularities in the context of budget management. It is added that the research leads to a problem in terms of existing study in the Peruvian reality.
For this purpose, the method will be used Multiobjective Optimization by Ratio Analysis (MOORA), introduced by Brauers and Zavadskas. The basic idea of this procedure is to calculate the overall performance of each alternative, as the difference between the sums of their normalized performances that belong to the cost-benefit criteria (López Castañeda et al., 2021), which for the present research are the strategies for facing performance audits in the educational sector in Peru. Before starting, it is important to have all the attributes well defined and consider that all of them must be measurable; that is, they can be measured or valued with respect to each of the alternatives. The procedure to implement this method will be described in detail below.
Construction of the decision matrix
The information is organized in a matrix, where each row represents an alternative and each column represents a criterion.
The decision matrix is as follows (Equation 1):
(1)
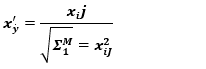
Normalization of the decision matrix
To make the criteria comparable, normalization based on the utility ratio method is used. Each value in the matrix is normalized by dividing each xij value by the square root of the sum of the squares of the values of that criterion.
The normalization formula is (Equation 2):
(2)
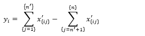
Calculation of the evaluation measure (Ratio Analysis)
After normalization, a utility value is calculated for each alternative by summing the normalized values of the maximization criteria and subtracting the values of the minimization criteria. The MOORA formula for calculating this evaluation measure is (Equation 3):
(3)
Where:
The terms
represent the sum of the normalized values
of the maximization and minimization criteria, respectively.
Classification of alternatives
Based on the Yi values, the alternatives are ranked from highest to lowest. The best alternative will be the one with the highest Yi value, since it represents the highest net utility, considering both maximization and minimization criteria.
RESULTS
For the research work, the Vice-Ministries of Pedagogical Management and the Vice-Ministry of Institutional Management are taken as educational management units, collecting documentation and information resulting from the performance audits carried out for this purpose by the National Control System, recorded on the website of the Comptroller General of the Republic; as well as the follow-up to the implementation of recommendations made by both vice-ministries, which in this case are 15 audits developed in the main areas located in the various departments of Peru (Table 1).
Table 1. Challenges and obstacles identified in the execution of performance audits in the educational sector of Peru
Cod. |
Challenge/Obstacle |
Observations |
DO1 |
Lack of access to accurate and timely information. |
Obtaining reliable and up-to-date data was a constant challenge due to the lack of availability or delay in the delivery of information by the audited entities, affecting the quality and veracity of the audits. |
DO2 |
Inconsistency in the records and databases of the audited entities. |
The lack of concordance between different records and databases in audited institutions, especially in the identification of beneficiaries such as students with visual impairments, complicated the planning and execution of the audits. |
DO3 |
Resistance and lack of cooperation on the part of officials of the audited entities. |
Lack of cooperation from some officials limited access to crucial information, causing delays in the audit process and affecting the thoroughness of the analyses. |
DO4 |
Logistical and access difficulties in remote areas. |
Logistical challenges, especially in rural and dispersed areas, made it difficult to conduct comprehensive and timely audits, affecting data collection in the field. |
DO5 |
Limitations in the technical capacity and resources of the audit team. |
The lack of specialized personnel and adequate resources in some regions complicated the efficient execution of audits, limiting the scope and depth of the assessments. |
DO6 |
Absence or insufficiency of clear and up-to-date regulations. |
The lack of a specific and updated regulatory framework to guide performance audits made it difficult to apply uniform criteria and methodologies across various regional audits. |
DO7 |
Inefficient intergovernmental coordination. |
The lack of effective coordination between different levels of government and educational entities limited the effectiveness of the audited policies and programs, creating obstacles to auditing their performance. |
DO8 |
Deficiencies in educational infrastructure and available resources. |
The limited availability of infrastructure and resources in the audited institutions affected the quality of the educational service and, consequently, the auditors' ability to comprehensively assess performance. |
DO9 |
Lack of integrated information systems for tracking and monitoring. |
The lack of integrated systems hampered continuous monitoring and tracking of activities and policies, affecting the ability of auditors to effectively assess the impact of educational interventions. |
At the governance level, the lack of capacity and resources at the local level to effectively manage schools, coupled with problems of corruption and poor resource management in some regions, demonstrates a lack of control in the application of educational policies and an irregular use of public resources allocated for these purposes.
The diversity of challenges and obstacles evidenced generate the need to promote policies in the design and execution of performance audits structured especially for the educational sector in Peru, which implies achieving results in accordance with the need to improve the public educational service throughout Peru. Therefore, in consideration of the established requirements and the requirements of the educational sector in Peru, improvement strategies are established that could promote the execution of performance audits in Peru (Table 2).
Table 2. Improvement strategies for conducting performance audits in the Education sector of Peru
Cod. |
Strategy |
Description |
E1 |
Strengthening access and quality of information |
Develop an integrated information system that enables the collection, validation and continuous updating of relevant data, ensuring its availability and accuracy for the audit. |
E2 |
Training and awareness-raising of staff at audited entities |
Implement training programs aimed at officials of audited entities to improve their understanding and cooperation in audit processes, highlighting the importance of transparency and collaboration. |
E3 |
Improving the infrastructure and resources of the audit team |
Ensure the availability of adequate resources, including advanced technological tools and trained personnel, to conduct performance audits effectively in all types of contexts, including rural and dispersed areas. |
E4 |
Updating and strengthening the regulatory framework for performance audits |
Review and update the legal and regulatory framework for performance audits, ensuring that it reflects international best practices and provides clear guidance for the execution of these audits in various sectors and contexts. |
E5 |
Effective inter-institutional coordination |
Establish coordination mechanisms between different levels of government and educational entities to ensure a coherent and effective implementation of educational policies and facilitate the audit process. |
E6 |
Implementation of integrated monitoring and tracking systems |
Develop and implement real-time monitoring systems that allow for continuous monitoring of audited policies and programs, improving the auditors' ability to assess their effectiveness in a timely manner. |
E7 |
Promoting sustainability and quality in educational infrastructure |
Invest in improving educational infrastructure, especially in rural areas, to ensure that institutions have the necessary resources to offer quality education, thereby facilitating a more complete and accurate performance audit. |
This table provides a series of strategies that could be implemented to overcome the challenges observed during the conduct of performance audits, focusing on improving the infrastructure, inter-institutional coordination, quality of information and the regulatory framework that governs these audits.
To determine which of these strategies should be prioritized, the MOORA method is used to evaluate and classify them according to the proposed criteria. For this purpose, six criteria are proposed, identified according to the literature review, which receive specific weights from 0.00 to 1.00, according to the magnitude of influence on the development of the performance audit (Table 3).
Table 3. Evaluation criteria table based on the information in the "Improvement Strategies" table
Cod. |
Criterion |
Description |
Weight |
C1 |
Impact on audit quality |
Evaluating the strategy's ability to improve the accuracy, comprehensiveness and effectiveness of performance audits. |
0.30 |
C2 |
Technical and operational feasibility |
Analysis of the technical and operational feasibility to implement the strategy, considering the available resources, infrastructure and capabilities. |
0.20 |
C3 |
Impact on institutional cooperation |
Evaluation of the strategy's potential to improve cooperation and coordination between audited entities and audit teams. |
0.15 |
C4 |
Cost-effectiveness |
Consideration of the cost-benefit ratio of the strategy, in terms of its ability to improve audits without requiring disproportionate investments. |
0.15 |
C5 |
Long-term sustainability |
Analysis of the strategy's potential to deliver sustainable benefits over time, contributing to the continuous improvement of performance audit processes. |
0.10 |
C6 |
Associated risk |
Assessment of potential risks that could arise during the implementation of the strategy, such as institutional resistance or technical limitations. |
0.10 |
This table presents the assessment criteria that could be used to prioritise the proposed improvement strategies. Each criterion is weighted according to its relative importance, to ensure that performance audits are more effective, sustainable and collaborative.
In this regard, and taking into account the analysis method considered, the proposals (E1 to E7) are first analyzed against the defined criteria (C1 to C6), using a weighting based on the previously calculated values. The evaluation matrix is presented below (Table 4).
Table 4. Evaluation criteria assigned to each strategy
Criteria assigned to each strategy |
|||||||
Max. |
Max. |
Max. |
Max. |
Max. |
Min. |
||
C1 |
C2 |
C3 |
C4 |
C5 |
C6 |
||
E1 |
0.81 |
0.64 |
0.49 |
0.64 |
0.36 |
0.25 |
|
E2 |
0.64 |
0.64 |
0.81 |
0.49 |
0.49 |
0.36 |
|
E3 |
0.49 |
0.64 |
0.64 |
0.49 |
0.36 |
0.25 |
|
E4 |
0.64 |
0.64 |
0.49 |
0.64 |
0.49 |
0.36 |
|
E5 |
0.81 |
0.49 |
0.64 |
0.49 |
0.64 |
0.49 |
|
E6 |
0.49 |
0.64 |
0.81 |
0.36 |
0.49 |
0.25 |
|
E7 |
0.64 |
0.49 |
0.64 |
0.49 |
0.36 |
0.25 |
|
Sum of products |
4.52 |
4.18 |
4.52 |
3.6 |
3.19 |
2.21 |
|
Square root |
2.1260 |
2.0445 |
2.1260 |
1.8974 |
1.7861 |
1.4866 |
|
According to the calculation of the MOORA score, the following steps are followed:
1. Normalization: the values are normalized using the sum of the squares of each criterion (Table 5).
Table 5. Normalized matrix according to criterion
|
C1 |
C2 |
C3 |
C4 |
C5 |
C6 |
E1 |
0.3810 |
0.3130 |
0.2305 |
0.3373 |
0.2016 |
0.1682 |
E2 |
0.3010 |
0.3130 |
0.3810 |
0.2583 |
0.2743 |
0.2422 |
E3 |
0.2305 |
0.3130 |
0.3010 |
0.2583 |
0.2016 |
0.1682 |
E4 |
0.3010 |
0.3130 |
0.2305 |
0.3373 |
0.2743 |
0.2422 |
E5 |
0.3810 |
0.2397 |
0.3010 |
0.2583 |
0.3583 |
0.3296 |
E6 |
0.2305 |
0.3130 |
0.3810 |
0.1887 |
0.2743 |
0.1682 |
E7 |
0.3810 |
0.2397 |
0.3010 |
0.2583 |
0.2016 |
0.1682 |
|
|
|
|
|
|
|
Weights |
0.30 |
0.20 |
0.15 |
0.15 |
0.10 |
0.10 |
2. Multiplication by weights: each normalized value is multiplied by the weight of the corresponding criterion (Table 6).
Table 6. Normalization and weighting according to established weight
Normalized and weighted matrix according to established weight |
Final weighting |
||||||
|
C1 |
C2 |
C3 |
C4 |
C5 |
C6 |
Optimization |
E1 |
0.1143 |
0.0626 |
0.0346 |
0.0505 |
0.0202 |
0.0168 |
0.2654 |
E2 |
0.0903 |
0.0626 |
0.0571 |
0.0387 |
0.0274 |
0.0242 |
0.2520 |
E3 |
0.0691 |
0.0626 |
0.0452 |
0.0387 |
0.0202 |
0.0168 |
0.2190 |
E4 |
0.0903 |
0.0626 |
0.0346 |
0.0506 |
0.0274 |
0.0242 |
0.2413 |
E5 |
0.1143 |
0.0479 |
0.0452 |
0.0387 |
0.0358 |
0.0330 |
0.2490 |
E6 |
0.0691 |
0.0626 |
0.0571 |
0.0285 |
0.0274 |
0.0168 |
0.2280 |
E7 |
0.0903 |
0.0479 |
0.0452 |
0.0387 |
0.0202 |
0.0168 |
0.2255 |
|
Max. |
Max. |
Max. |
Max. |
Max. |
Min. |
|
Final calculation
The final score for each strategy is obtained by adding the weighted values of the "Maximize" criteria (C1, C2, C3, C4, C5) and subtracting the weighted value of the "Minimize" criterion (C6). The final decision to establish the order of priority in the intervention strategies to make performance audits more effective is shown below (Table 7).
Table 7. Normalized and weighted matrix results according to established criteria
E1 |
0.2654 |
1° Alter |
E2 |
0.2520 |
2° Alter |
E5 |
0.2490 |
3° Alter |
E4 |
0.2413 |
4° Alter |
E6 |
0.2280 |
5° Alter |
E3 |
0.2190 |
6° Alter |
E7 |
0.2255 |
7° Alter |
Based on the results obtained, according to the MOORA method used, it is concluded that the three main strategies to consider achieving better results in performance audits in the educational sector in Peru are (Table 8).
Table 8. Performance audits in the education sector in Peru
E1 |
Strengthening access and quality of information |
Develop an integrated information system that enables the collection, validation and continuous updating of relevant data, ensuring its availability and accuracy for the audit. |
E2 |
Training and awareness-raising of staff at audited entities |
Implement training programs aimed at officials of audited entities to improve their understanding and cooperation in audit processes, highlighting the importance of transparency and collaboration. |
E5 |
Effective inter-institutional coordination |
Establish coordination mechanisms between different levels of government and educational entities to ensure a coherent and effective implementation of educational policies and facilitate the audit process. |
The results obtained according to the proposed method, although considering established criteria and weights can be inferred from various criteria in this regard. The weights assumed represent the results and limitations evidenced in the 15 performance audits analyzed and considered in this study.
At the same time, in accordance with Generally Accepted Auditing Standards and International Auditing Standards, as well as the recommendations indicated by INTOSAI for the development of performance audits in the public sector, the access and quality of the information received by the audit team for analysis is of vital importance, as well as the provision and collaboration of the officials and workers in charge of management; since in the aims and objectives of the performance audit, the purpose of the report is limited to stating an opinion on the management of the audited entity according to the direction and processes carried out.
Finally, the third aspect that stands out, according to the MOORA Method, is the necessary and essential coordination that must exist at all times between the officials in charge of designing public educational policies and the different levels of government responsible for their application, which guarantees the recommendations resulting from the application of performance audits in the sector.
DISCUSSION
The results of this study highlight the importance of performance auditing as an essential tool to improve transparency, efficiency and accountability in the education sector. Various studies have shown that performance audits allow for optimizing resource allocation and improving management processes in educational institutions, ensuring that public resources are used effectively (Parker & Guthrie, 2021).
Taking into account the objectives of this research, in the context of a proposal for a change in operational policies, to optimize the performance audit to be carried out in Peruvian public education, it is concluded that the three main strategies to be considered for such purposes are related to strengthening access and quality of information, training and awareness of the staff of the audited entities and effective inter-institutional coordination.
Regarding the first strategy, recommendations based on previous audits include strengthening information systems and monitoring mechanisms, which significantly improves the capacity of auditing bodies to monitor the performance and results of educational policies in real time (Victorian Auditor - General's Office, 2018).
From the analysis carried out in the various performance audits carried out in the education sector, restrictions in different aspects have been found that limit the effectiveness of its execution, such as the lack of alignment between national policies and their implementation at regional and local levels and insufficient supervision and accountability in the execution of these educational policies. This contradicts the implementation of cost-benefit analysis that audits ensure the effectiveness of resource use and optimize decision-making, contributing to the overall efficiency of educational systems (Funnell & Wade, 2012; Roseth & Jaramillo, 2018).
Furthermore, there is inequality in the quality of infrastructure between urban and rural areas and insufficient access to technological resources and educational materials in remote areas, followed by a lack of monitoring and evaluation of the effectiveness of training programs for teachers and administrative staff in charge of educational policies. Performance auditing should incorporate feedback systems that allow for timely adjustments, adapting to the changing needs of the education sector. Implementing training programs for administrative staff and promoting the use of advanced technologies in data auditing can substantially improve the efficiency of processes and the quality of educational outcomes (Parker & Guthrie, 2021; DEECD, 2018).
In relation to educational quality, the results of the performance audits carried out show an inconsistent implementation of the curriculum at the national level, as well as a lack of adequate curricular adaptations for students with special needs, such as the persistence of significant gaps in learning outcomes between urban and rural areas, which results in low performance compared to international learning standards. The reviewed studies underline that the focus on efficiency and economy of resources improves significantly when audit systems are well integrated into the educational management process. This not only ensures the proper use of resources, but also reduces operational costs and increases the impact of educational interventions, a benefit demonstrated in multiple government contexts (Rana et al., 2021; Power, 1997).
For their part, Funnell and Wade (2012) emphasize the need for reliable and up-to-date data in performance audits to effectively assess the use of resources and the impact of educational policies. Continuous access to accurate data allows auditors to carry out detailed and recommended evaluations. Conclusions that coincide with the study carried out by Rana et al. (2021) who underlines the importance of information quality for performance audits in the public sector, arguing that continuous access and validation of data increases audit effectiveness and allow better adaptation to management policies.
Regarding the need for training and awareness of the staff of the audited entities, the results are also consistent with various studies carried out, which indicate that the constant training of administrative staff in auditing and transparency issues is crucial to guarantee the effectiveness of audits and inter-institutional cooperation (Parker & Guthrie, 2021). Likewise, Power (1997) points out how audit training contributes to a deeper understanding of audit processes and collaboration between auditors and audited entities, promoting transparency and effectiveness in public management. Likewise, Brusca et al. (2016) concluded that training in performance auditing allows audited entities to adopt more transparent and effective management practices, improving communication and cooperation in the process.
For their part, studies conducted by Funnell and Wade (2012) highlight that continuous training of officials of audited entities promotes a greater understanding of audit objectives, which facilitates cooperation and efficiency in the use of resources allocated by management in the audit process. Regarding adequate planning of training programs, Guthrie and Parker (2019) emphasize the need for training programs in performance audits to improve officials' understanding of the value of transparency and collaboration in the audit process.
In relation to the importance of establishing coordination mechanisms between levels of government and educational entities to ensure a coherent and effective implementation of policies, facilitating the performance audit process, the results of this research show the need for such a strategy. Pollitt (2003) highlights the need for strong intergovernmental coordination in performance audits to ensure coherence in the application of policies, particularly in the educational field, where multiple levels of government intervene in management and financing. Similarly, the research carried out by Jeppesen and Loft (2017) emphasize that collaboration and coordination between different levels of government are essential in performance auditing to ensure consistency in policy implementation and alignment of educational objectives.
For their part, Guthrie and Parker (2019) explore how inter-institutional coordination in performance audits promotes a more effective execution of public policies, improving accountability in the education sector, a situation that, within the framework of the strategies for interrelation of regional and local public policies in the country, is essential due to the distances and lack of necessary budgetary and logistical resources. These needs are also pointed out by Brusca et al. (2016), who highlight the relevance of effective coordination between different government levels and agencies in performance auditing to implement educational policies in a uniform and effective manner.
The implementation of performance audit recommendations has led to significant improvements in teaching methods and the educational curriculum, resulting in an increase in educational quality (Vargas, 2018), generating an impact of better teacher training, and has led to an improvement in teaching practices and, consequently, in student performance.
In turn, a study by the Universidad del Pacífico revealed that the recommendations of performance audits have allowed for a better allocation of financial and material resources within the education sector (López, 2017), with a more equitable distribution of resources; implementing mechanisms to ensure that resources reach the neediest schools, reducing disparities between urban and rural areas.
Furthermore, the recommendations have led to more efficient budget management, avoiding waste and ensuring that every sol invested has a positive impact on education, improving transparency and accountability; that is, performance audits have increased transparency in the management of the Ministry of Education (García, 2019) generating greater public trust, as well as, by addressing areas prone to corruption, the integrity of the education system has been improved.
Regarding the improvement of school infrastructure, the implementation of recommendations has resulted in significant improvements in school infrastructure, providing a more suitable and safe learning environment for students (Rodríguez, 2020); new schools have been built and existing ones have been maintained, which has improved learning conditions, and the recommendations have led to the provision of technological resources, which has modernized educational practices and facilitated learning.
Regarding the proposal for performance audits in the Peruvian education sector, they have a significant influence on the indicators of economy, efficiency and effectiveness, helping to mitigate risks and improve the management of the education system. Based on theses and research carried out in Peru, it can be observed how these audits have a positive impact on these indicators. According to Vargas (2018), performance audits have made it possible to identify areas of unnecessary spending and have proposed corrective measures that optimize the use of financial resources. This optimization includes the reduction of operating costs and the elimination of superfluous expenses, ensuring that funds are used more efficiently.
López (2017) highlights that performance audits have improved efficiency in school management, optimizing the cost-benefit ratio of investments in educational infrastructure. Audits have promoted more effective management practices and facilitated the implementation of technologies that improve school administration.
García (2019) shows how performance audits have positively influenced the quality of education, allowing for the identification and correction of deficiencies in teaching methods and the educational curriculum. This has resulted in an improvement in student learning outcomes, generating progress in educational quality. The implementation of audit recommendations has led to an update of curricula and teaching methods, improving academic results.
This measure, as well as the effectiveness of its interventions, has been valued by the increase in graduation rates and better performance in national and international assessments.
The study concludes that:
REFERENCES
Brusca, I., Gómez-Villegas, M., & Montesinos, V. (2016). Public Financial Management Reforms: The Role of Performance Auditing. Public Money & Management, 36(7), 482-488.
Funnell, W., & Wade, M. (2012). Performance Auditing: Conceptual and Practical Issues. International Journal of Public Sector Management, 25(5), 398-412.
Guthrie, J., & Parker, L. (2019). The Role and Impact of Performance Audit in Public Governance. Public Money & Management, 39(3), 191-200. https://link.springer.com/chapter/10.1007/978-3-319-50164-2_2
Jeppesen, K. K., & Loft, A. (2017). Strategic and Institutional Challenges in Performance Auditing. Financial Accountability & Management, 33(1), 4-27. https://repository.essex.ac.uk
Johnsen, Å., et al. (2019). Performance Auditing in the Public Sector: A Systematic Review. Financial Accountability & Management. https://repository.essex.ac.uk
Jovanoviæ, M., & Pravdiæ, M. (2010). Balanced Scorecard in the Public Sector. International Public Management Journal, 13(4), 321-338. https://journals.sagepub.com
Parker, L., & Guthrie, J. (2021). The Role and Impact of Performance Audits on Public Governance. Public Money & Management, 41(3), 129-140.: https://link.springer.com/chapter/10.1007/978-3-319-50164-2_2
Pollitt, C. (2003). Performance Audit in Western Europe: Trends and Directions. Public Performance & Management Review, 26(3), 265-283.
Power, M. (1997). The Audit Society: Rituals of Verification. Oxford University Press. https://academic.oup.com
Rana, M., Parker, L., & Guthrie, J. (2021). Systematic Literature Review of Performance Auditing in Public Sector. Journal of Financial Accountability, 47(2), 134-148. https://www.journalrepository.com
Victorian Auditor-General's Office. (2018). Performance Reporting Systems in Education. Victorian Auditor-General's Report. https://www.audit.vic.gov.au
Conflict of interest
Authors declare no conflict of interests.
Authors' contribution
The authors participated in the design and writing of the article, in the search and analysis of the information contained in the consulted bibliography.