Mendive. Revista de Educación, enero-marzo 2025; 23(1), e4099
Artículo original
La influencia de la auditoría de desempeño en la gestión del Ministerio de Educación peruano
The influence of performance audit on the management of the Peruvian Ministry of Education
A influência da auditoria de desempenho na gestão do Ministério da Educação do Peru
Manuel Hidalgo Tupia1
0000-0002-9644-2406
mhidalgot@unmsm.edu.pe
Alberto Benjamín Espinoza Valenzuela1
0000-0001-8577-1717
aespinozav@unmsm.edu.pe
Adrián Alejandro Flores Konja1
0000-0001-5952-1909
afloresk@unmsm.edu.pe
Javier Ricardo Melgarejo Morales1
0000-0002-4008-8911
jmelgarejomo@unmsm.edu.pe
1 Universidad Nacional Mayor de San Marcos. Perú.
Recibido: 4/01/2025
Aceptado: 14/01/2025
RESUMEN
Las auditorías de desempeño son usuales en el sector público y en la gestión del sector educación en el Perú. El objetivo del artículo es presentar las estrategias más adecuadas, en el contexto de una propuesta de cambio de políticas operativas, para optimizar la auditoría de desempeño realizada en la educación pública peruana. Se identificaron los paradigmas de su aplicación en el sector educación como sus ventajas y limitaciones, considerando el adecuado uso de sus recursos presupuestales y patrimoniales, como la idoneidad de sus procesos y sus resultados; evaluando la eficacia, eficiencia, economía y calidad de sus servicios educativos en su integridad, la producción y entrega de los bienes o servicios que realiza con la finalidad de alcanzar resultados en beneficio del ciudadano. La población de estudio fue un conjunto de 15 informes de auditoría al desempeño aplicados en el sector educación. La metodología utilizada fue la aplicación del sistema de decisión Multiobjective Optimization by Ratio Analysis (MOORA), a partir de un análisis sistemático de los informes de auditoría citados y de criterios resultantes de la revisión de la literatura. Los resultados fueron la identificación de las tres principales estrategias, nombradas; E1- Fortalecimiento del acceso y calidad de la información; E2- Capacitación y sensibilización del personal de las entidades auditadas, y E3- Coordinación interinstitucional efectiva. La mejora en la gestión del Ministerio de Educación incluye la modernización de sus mecanismos de control, para que los prestadores del servicio (las organizaciones del Estado) sean más eficaces en su misión de lograr el bien común. La gestión del Ministerio de Educación solo tiene posibilidad de ser exitosa si cuenta con eficaces sistemas de control.
Palabras clave: auditoría; desempeño; eficacia; eficiencia; calidad; gestión pública.
ABSTRACT
Performance audits are common in the public sector and in the management of the education sector in Peru. The objective of the article is to present the most appropriate strategies, in the context of a proposal for a change in operational policies, to optimize the performance audit carried out in Peruvian public education. The paradigms of its application in the education sector were identified as its advantages and limitations, considering the adequate use of its budgetary and patrimonial resources, as well as the suitability of its processes and its results; evaluating the effectiveness, efficiency, economy and quality of its educational services in its entirety, the production and delivery of the goods or services it carries out with the purpose of achieving results for the benefit of the citizen. The study population was a set of 15 performance audit reports applied in the education sector. The methodology used was the application of the Multiobjective decision system. Optimization The Ministry of Education has a Ratio Analysis (MOORA) based on a systematic analysis of the audit reports cited and the criteria resulting from the literature review. The results were the identification of three main strategies, named; E1- Strengthening access and quality of information; E2- Training and awareness of the staff of the audited entities, and E3- Effective inter-institutional coordination. The improvement in the management of the Ministry of Education includes the modernization of its control mechanisms, so that the service providers (state organizations) are more effective in their mission of achieving the common good. The management of the Ministry of Education only has a chance of being successful if it has effective control systems.
Keywords: audit; performance; effectiveness; efficiency; quality; public management.
RESUMO
As auditorias de desempenho são comuns no setor público e na gestão do setor educacional no Peru. O objetivo do artigo é apresentar as estratégias mais adequadas, no contexto de uma proposta de mudança de política operacional, para otimizar a auditoria de desempenho na educação pública peruana. Os paradigmas de sua aplicação no setor educacional foram identificados como suas vantagens e limitações, considerando o uso adequado de seus recursos orçamentários e patrimoniais, bem como a adequação de seus processos e resultados; avaliando a eficácia, a eficiência, a economia e a qualidade de seus serviços educacionais em sua integridade, produção e entrega de bens ou serviços com o objetivo de alcançar resultados em benefício do cidadão. A população do estudo foi um conjunto de 15 relatórios de auditoria de desempenho aplicados no setor educacional. A metodologia utilizada foi a aplicação do sistema de decisão MOORA (Multiobjective Optimization by Ratio Analysis), com base em uma análise sistemática dos relatórios de auditoria citados e dos critérios da revisão da literatura. Os resultados foram a identificação das três principais estratégias, denominadas; E1- Fortalecimento do acesso e da qualidade das informações; E2- Treinamento e sensibilização da equipe das entidades auditadas e E3- Coordenação interinstitucional eficaz. A melhoria da gestão do Ministério da Educação inclui a modernização de seus mecanismos de controle, de modo que os prestadores de serviços (organizações estatais) sejam mais eficazes em sua missão de alcançar o bem comum. A gestão do Ministério da Educação só pode ser bem-sucedida se tiver sistemas de controle eficazes.
Palavras-chave: auditoria; desempenho; eficácia; eficiência; qualidade; gestão pública.
INTRODUCCIÓN
La auditoría de desempeño es una de las áreas más importantes de la evolución de las entidades fiscalizadoras superiores de América Latina y el Caribe en las últimas dos décadas. Entonces, a partir de lo mencionado, podemos decir que aparte de evaluar y opinar respecto a la gestión de los recursos, las entidades fiscalizadoras, a través de las auditorias de desempeño, tienen como fin recomendar y mejorar la misma; es decir, implementar un modelo de gestión del rendimiento en las entidades públicas, que no es una tarea fácil. Pretender que este sea eficiente y logre, además, desarrollar todas sus potencialidades es una labor titánica, que debe afrontar varias dificultades y resistencias propias del mismo sistema, así como obstáculos (Johnsen et al., 2019).
En tal sentido, la auditoría de desempeño se define como el análisis y evaluación de la utilización de los recursos, de modo tal que se hayan realizado de forma eficiente, efectiva y económica (Victorian Auditor-General's Office, 2018).
Por ello, es de suma importancia abordar el presente estudio respecto al papel de la auditoría de desempeño en el mejoramiento de la gestión pública, analizando al sector educación como el sector de impacto social que necesita gestionar futuros ciudadanos, bajo la premisa de una adecuada gestión presupuestaria, con indicadores de eficiencia, eficacia y transparencia. Para ello, la auditoría de desempeño es el instrumento de control que debe asegurar estos efectos sociales como políticas públicas, a través de la generación de resultados tangibles en el uso de sus recursos presupuestales.
Una revisión de la literatura sugiere que los sistemas de auditoría de desempeño en educación no solo mejoran la eficiencia operativa, sino que contribuyen significativamente a la efectividad de los programas, al enfocar las auditorías en resultados educativos específicos y en la satisfacción de los beneficiarios directos, como estudiantes y docentes (Johnsen et al., 2019). Además, la auditoría de desempeño facilita la implementación de prácticas de mejora continua, lo cual es esencial en sectores que requieren adaptaciones constantes, debido a los cambios tecnológicos y pedagógicos (Rana et al., 2021).
La auditoría de desempeño, en este sentido, se destaca como un recurso estratégico para mejorar la eficiencia y optimizar el uso de recursos en el sector educativo. Estudios adicionales sugieren que la adopción de estándares internacionales en auditoría aumenta la transparencia en los procesos educativos y permite una evaluación más exhaustiva de los resultados (Brusca et al., 2016). Esto es particularmente relevante en el contexto de la educación pública, donde la asignación de recursos necesita ser justificada y orientada a maximizar el impacto en el aprendizaje de los estudiantes (Jeppesen & Loft, 2017; Pollitt, 2003).
En el contexto latinoamericano, la auditoría de desempeño ha contribuido significativamente a la gestión de políticas públicas en educación. Roseth y Jaramillo (2018) indican que las auditorías en países de la región han promovido mejoras en el rendimiento educativo al identificar áreas de ineficiencia y malgasto, promoviendo prácticas de buena gestión y la transparencia. Estas auditorías no solo evalúan el cumplimiento de objetivos, sino que también generan recomendaciones prácticas para mejorar los procesos, lo cual es esencial en sistemas educativos en desarrollo (Guthrie & Parker, 2019).
Asimismo, el uso de metodologías de auditoría que integran análisis de costos y beneficios ha sido eficaz para justificar la inversión en programas educativos y garantizar que estos cumplan con los criterios de economía, eficiencia y efectividad (Funnell & Wade, 2012). Finalmente, el uso de tecnologías avanzadas para el seguimiento y monitoreo de programas educativos facilita la labor de auditoría y mejora la calidad de los informes, asegurando así la implementación de recomendaciones y la sostenibilidad de las políticas públicas (Power, 1997). La experiencia internacional, en este sentido, resalta la importancia de adoptar tecnologías que permitan una recopilación de datos precisa y una evaluación en tiempo real de los resultados educativos (Jovanoviæ & Pravdiæ, 2010).
Una auditoría de desempeño en el sector educativo peruano, mediante un enfoque orientado a resultados, implica evaluar la eficacia, eficiencia y efectividad de las políticas y programas educativos, proporcionando una visión clara de cómo se están utilizando los recursos y el impacto de las políticas y programas en los resultados educativos. Esto permite la identificación de áreas de mejora y la implementación de estrategias efectivas conjuntas a través de una mejor ejecución de auditorías de desempeño, con la finalidad de coadyuvar a alcanzar los objetivos educativos nacionales que implementa el sector educativo en el Perú.
Ello debe relacionarse con el enfoque de cuatro factores: acción estratégica, formación integral, soporte y recursos para los procesos pedagógicos y resultados que se contemplan, y no procesos de aseguramiento de la calidad, que son parte de la normativa del Estado peruano, para la educación básica y la educación universitaria.
En ese sentido, el objetivo del artículo es presentar las estrategias más adecuadas, en el contexto de una propuesta de cambio de políticas operativas, para optimizar la auditoría de desempeño realizada en la educación pública peruana, analizando aspectos operativos, administrativos, de infraestructura y sociales que han limitado su efectividad y proponer recomendaciones y estrategias de mejora para el enfoque de las auditorías de desempeño en el sector educativo en el Perú, considerando las buenas prácticas para su ejecución dispuestas por la Contraloría General de la República y las particularidades de su ejecución, con el objetivo de potenciar su contribución al logro de los fines institucionales y sociales que corresponde.
MATERIALES Y MÉTODOS
El trabajo responde a una revisión de las auditorías de desempeño realizadas en el sector educación, lo cual necesariamente requiere la recopilación de información y datos basados en su ejecución. Igualmente, información proveniente de investigaciones realizadas sobre el particular mediante textos y artículos científicos utilizados permite profundizar en el análisis del problema planteado. La información recopilada contribuye a la discusión sobre los resultados de la ejecución de auditorías de desempeño y sus particularidades en el contexto de la gestión presupuestaria. Se agrega que la investigación conduce a un problema en términos de estudio existente en la realidad peruana.
Para dicho efecto, se utilizará el método Multiobjective Optimization by Ratio Analysis (MOORA), introducido por Brauers y Zavadskas. La idea básica de este procedimiento es calcular el rendimiento general de cada alternativa, como la diferencia entre las sumas de sus rendimientos normalizados que pertenecen a los criterios de costo-beneficio (López Castañeda et al., 2021), que para la presente investigación son las estrategias de afrontar auditorías de desempeño en el sector educativo en el Perú. Antes de comenzar, es importante tener todos los atributos bien definidos y considerar que todos deben ser medibles; es decir, que se puedan medir o valorar con respecto a cada una de las alternativas. El procedimiento para implementar este método se describirá en detalle a continuación.
Construcción de la matriz de decisión
Se organiza la información en una matriz, donde cada fila representa una alternativa y cada columna representa un criterio.
La matriz de decisión queda de la siguiente forma (Ecuación 1):
(1)
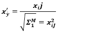
Normalización de la matriz de decisión
Para hacer comparables los criterios, se utiliza la normalización basada en el método de la relación de utilidad. Cada valor de la matriz se normaliza dividiendo cada valor xij por la raíz cuadrada de la suma de los cuadrados de los valores de ese criterio
La fórmula de normalización es (Ecuación 2):
(2)
Cálculo de la medida de evaluación (Ratio Analysis)
Después de la normalización, se calcula un valor de utilidad para cada alternativa, sumando los valores normalizados de los criterios de maximización y restando los valores de los criterios de minimización. La fórmula de MOORA para calcular esta medida de evaluación es (Ecuación 3):
(3)
Donde:
Los términos
representan la suma de los valores normalizados de
los criterios de maximización y minimización, respectivamente.
Clasificación de las alternativas
Con base en los valores de Yi, se clasifican las alternativas de mayor a menor. La mejor alternativa será aquella con el valor de Yi más alto, ya que representa la mayor utilidad neta, considerando tanto los criterios de maximización como de minimización.
RESULTADOS
Para el trabajo de investigación se toma como unidades de gestión educativa a los viceministerios de Gestión Pedagógica y al viceministerio de Gestión Institucional, recabando documentación e información resultante de las auditorías de desempeño efectuadas para el efecto por el Sistema Nacional de Control, consignadas en la página web de la Contraloría General de la República; así como el seguimiento a la implementación de recomendaciones efectuadas por ambos viceministerios, que para el caso son 15 auditorías desarrolladas en las principales zonas ubicadas en los diversos departamentos del Perú (Tabla 1).
Tabla 1. Desafíos y obstáculos identificados en la ejecución de auditorías de desempeño en el sector educativo del Perú
Cod. |
Desafío/Obstáculo |
Observaciones |
DO1 |
Falta de acceso a información precisa y oportuna. |
La obtención de datos confiables y actualizados fue un reto constante debido a la falta de disponibilidad o demora en la entrega de información por parte de las entidades auditadas, afectando la calidad y veracidad de las auditorías |
DO2 |
Inconsistencia en los registros y bases de datos de las entidades auditadas. |
La falta de concordancia entre diferentes registros y bases de datos en instituciones auditadas, especialmente en la identificación de beneficiarios como estudiantes con discapacidad visual, complicó la planificación y ejecución de las auditorías. |
DO3 |
Resistencia y falta de colaboración por parte de los funcionarios de las entidades auditadas. |
La falta de cooperación de algunos funcionarios limitó el acceso a información crucial, generando retrasos en el proceso auditor y afectando la exhaustividad de los análisis. |
DO4 |
Dificultades logísticas y de acceso en zonas remotas. |
Los desafíos logísticos, especialmente en áreas rurales y dispersas, dificultaron la realización de auditorías exhaustivas y oportunas, afectando la recopilación de datos en campo. |
DO5 |
Limitaciones en la capacidad técnica y recursos del equipo auditor. |
La falta de personal especializado y recursos adecuados en algunas regiones complicó la ejecución eficiente de las auditorías, limitando el alcance y profundidad de las evaluaciones |
DO6 |
Ausencia o insuficiencia de normativas claras y actualizadas. |
La falta de un marco normativo específico y actualizado para guiar las auditorías de desempeño dificultó la aplicación uniforme de criterios y metodologías en diversas auditorías regionales. |
DO7 |
Ineficiente coordinación intergubernamental. |
La falta de una coordinación efectiva entre los distintos niveles de gobierno y entidades educativas limitó la efectividad de las políticas y programas auditados, creando obstáculos para la auditoría de su desempeño. |
DO8 |
Deficiencias en la infraestructura educativa y recursos disponibles. |
La limitada disponibilidad de infraestructura y recursos en las instituciones auditadas afectó la calidad del servicio educativo y, en consecuencia, la capacidad de los auditores para evaluar el desempeño de manera integral. |
DO9 |
Carencia de sistemas integrados de información para seguimiento y monitoreo. |
La falta de sistemas integrados dificultó el seguimiento y monitoreo continuo de las actividades y políticas, afectando la capacidad de los auditores para evaluar de manera efectiva el impacto de las intervenciones educativas. |
A nivel de Gobernanza, la falta de capacidad y recursos a nivel local para gestionar de manera efectiva las escuelas, aunado a problemas de corrupción y mala administración de recursos en algunas regiones, evidencia descontrol en la aplicación de políticas educativas y un uso de recursos públicos asignados a estos efectos de manera irregular.
La diversidad de desafíos y obstáculos evidenciados generan la necesidad de promover políticas en el diseño y ejecución de auditorías de desempeño estructuradas especialmente para el sector educativo en el Perú, que implique lograr resultados acordes a la necesidad de mejorar el servicio educativo público en todo el Perú. Por ello, en consideración a los requerimientos establecidos y los requerimientos del sector educativo en el Perú se establecen estrategias de mejora que podrían impulsar la ejecución de auditorías de desempeño en el Perú (Tabla 2).
Tabla 2. Estrategias de mejora para la realización de auditorías de desempeño en el sector Educación del Perú
Cod. |
Estrategia |
Descripción |
E1 |
Fortalecimiento del acceso y calidad de la información |
Desarrollar un sistema integrado de información que permita la recopilación, validación y actualización continua de datos relevantes, asegurando su disponibilidad y precisión para la auditoría. |
E2 |
Capacitación y sensibilización del personal de las entidades auditadas |
Implementar programas de capacitación dirigidos a los funcionarios de las entidades auditadas para mejorar su comprensión y cooperación en los procesos de auditoría, destacando la importancia de la transparencia y la colaboración. |
E3 |
Mejora de la infraestructura y recursos del equipo auditor |
Asegurar la disponibilidad de recursos adecuados, incluyendo herramientas tecnológicas avanzadas y personal capacitado, para realizar auditorías de desempeño de manera efectiva en todo tipo de contextos, incluidas áreas rurales y dispersas. |
E4 |
Actualización y fortalecimiento del marco normativo para auditorías de desempeño |
Revisar y actualizar el marco legal y normativo para las auditorías de desempeño, asegurando que refleje las mejores prácticas internacionales y proporcione guías claras para la ejecución de estas auditorías en diversos sectores y contextos. |
E5 |
Coordinación interinstitucional efectiva |
Establecer mecanismos de coordinación entre diferentes niveles de gobierno y entidades educativas para asegurar una implementación coherente y efectiva de las políticas educativas y facilitar el proceso de auditoría. |
E6 |
Implementación de sistemas integrados de seguimiento y monitoreo |
Desarrollar e implementar sistemas de monitoreo en tiempo real, que permitan un seguimiento continuo de las políticas y programas auditados, mejorando la capacidad de los auditores para evaluar su efectividad de manera oportuna. |
E7 |
Promoción de la sostenibilidad y calidad en la infraestructura educativa |
Invertir en la mejora de la infraestructura educativa, especialmente en áreas rurales, para asegurar que las instituciones cuenten con los recursos necesarios para ofrecer una educación de calidad, facilitando así una auditoría de desempeño más completa y precisa. |
Esta tabla proporciona una serie de estrategias que podrían implementarse para superar los desafíos observados durante la realización de auditorías de desempeño, enfocándose en mejorar la infraestructura, la coordinación interinstitucional, la calidad de la información y el marco normativo que regula estas auditorías.
Para determinar cuál de estas estrategias debe ser priorizada, se utiliza el método MOORA para evaluarlas y clasificarlas según los criterios propuestos. Para dicho efecto, se proponen seis criterios, identificados conforme a la revisión de la literatura, los cuales reciben pesos específicos ponderados del 0.00 al 1.00, según la magnitud de influencia en el desarrollo de la auditoría de desempeño (Tabla 3).
Tabla 3. Cuadro de criterios de evaluación basado en la información del cuadro "Estrategias de Mejora"
Cod. |
Criterio |
Descripción |
Peso |
C1 |
Impacto en la calidad de la auditoría |
Evaluación de la capacidad de la estrategia para mejorar la precisión, exhaustividad y la efectividad de las auditorías de desempeño. |
0.30 |
C2 |
Viabilidad técnica y operativa |
Análisis de la viabilidad técnica y operativa para implementar la estrategia, considerando los recursos, infraestructura y capacidades disponibles. |
0.20 |
C3 |
Impacto en la cooperación institucional |
Evaluación del potencial de la estrategia para mejorar la cooperación y coordinación entre las entidades auditadas y los equipos auditores. |
0.15 |
C4 |
Costo-efectividad |
Consideración de la relación costo-beneficio de la estrategia, en términos de su capacidad, para mejorar las auditorías sin requerir inversiones desproporcionadas. |
0.15 |
C5 |
Sostenibilidad a largo plazo |
Análisis del potencial de la estrategia para ofrecer beneficios sostenibles en el tiempo, contribuyendo a la mejora continua de los procesos de auditoría de desempeño. |
0.10 |
C6 |
Riesgo asociado |
Evaluación de los posibles riesgos que podrían surgir durante la implementación de la estrategia, como resistencia institucional o limitaciones técnicas. |
0.10 |
Este cuadro presenta los criterios de evaluación que podrían utilizarse para priorizar las estrategias de mejora propuestas. Cada criterio está ponderado en función de su importancia relativa, para garantizar que las auditorías de desempeño sean más efectivas, sostenibles y colaborativas.
Al respecto, y en consideración al método de análisis considerado, se analiza en primer lugar las propuestas (E1 a E7) contra los criterios definidos (C1 a C6), utilizando una ponderación basada en los valores calculados previamente. A continuación, se presenta la matriz de evaluación (Tabla 4).
Tabla 4. Criterio de evaluación asignados a cada estrategia
Criterios asignados a cada estrategia |
|||||||
Max. |
Max. |
Max. |
Max. |
Max. |
Min. |
||
C1 |
C2 |
C3 |
C4 |
C5 |
C6 |
||
E1 |
0.81 |
0.64 |
0.49 |
0.64 |
0.36 |
0.25 |
|
E2 |
0.64 |
0.64 |
0.81 |
0.49 |
0.49 |
0.36 |
|
E3 |
0.49 |
0.64 |
0.64 |
0.49 |
0.36 |
0.25 |
|
E4 |
0.64 |
0.64 |
0.49 |
0.64 |
0.49 |
0.36 |
|
E5 |
0.81 |
0.49 |
0.64 |
0.49 |
0.64 |
0.49 |
|
E6 |
0.49 |
0.64 |
0.81 |
0.36 |
0.49 |
0.25 |
|
E7 |
0.64 |
0.49 |
0.64 |
0.49 |
0.36 |
0.25 |
|
Suma de productos |
4.52 |
4.18 |
4.52 |
3.6 |
3.19 |
2.21 |
|
Raíz cuadrada |
2.1260 |
2.0445 |
2.1260 |
1.8974 |
1.7861 |
1.4866 |
|
Según el cálculo de la puntuación MOORA se siguen los pasos siguientes:
1. Normalización: se normalizan los valores utilizando la suma de los cuadrados de cada criterio (Tabla 5).
Tabla 5. Matriz normalizada según criterio
|
C1 |
C2 |
C3 |
C4 |
C5 |
C6 |
E1 |
0.3810 |
0.3130 |
0.2305 |
0.3373 |
0.2016 |
0.1682 |
E2 |
0.3010 |
0.3130 |
0.3810 |
0.2583 |
0.2743 |
0.2422 |
E3 |
0.2305 |
0.3130 |
0.3010 |
0.2583 |
0.2016 |
0.1682 |
E4 |
0.3010 |
0.3130 |
0.2305 |
0.3373 |
0.2743 |
0.2422 |
E5 |
0.3810 |
0.2397 |
0.3010 |
0.2583 |
0.3583 |
0.3296 |
E6 |
0.2305 |
0.3130 |
0.3810 |
0.1887 |
0.2743 |
0.1682 |
E7 |
0.3810 |
0.2397 |
0.3010 |
0.2583 |
0.2016 |
0.1682 |
|
|
|
|
|
|
|
Pesos |
0.30 |
0.20 |
0.15 |
0.15 |
0.10 |
0.10 |
2. Multiplicación por los pesos: cada valor normalizado se multiplica por el peso del criterio correspondiente (Tabla 6).
Tabla 6. Normalización y ponderación según peso establecido
Matriz normalizada y ponderada según peso establecido |
Ponderación final |
||||||
|
C1 |
C2 |
C3 |
C4 |
C5 |
C6 |
Optimización |
E1 |
0.1143 |
0.0626 |
0.0346 |
0.0505 |
0.0202 |
0.0168 |
0.2654 |
E2 |
0.0903 |
0.0626 |
0.0571 |
0.0387 |
0.0274 |
0.0242 |
0.2520 |
E3 |
0.0691 |
0.0626 |
0.0452 |
0.0387 |
0.0202 |
0.0168 |
0.2190 |
E4 |
0.0903 |
0.0626 |
0.0346 |
0.0506 |
0.0274 |
0.0242 |
0.2413 |
E5 |
0.1143 |
0.0479 |
0.0452 |
0.0387 |
0.0358 |
0.0330 |
0.2490 |
E6 |
0.0691 |
0.0626 |
0.0571 |
0.0285 |
0.0274 |
0.0168 |
0.2280 |
E7 |
0.0903 |
0.0479 |
0.0452 |
0.0387 |
0.0202 |
0.0168 |
0.2255 |
|
Max. |
Max. |
Max. |
Max. |
Max. |
Min. |
|
Cálculo final
La puntuación final para cada estrategia se obtiene sumando los valores ponderados de los criterios "Maximizar" (C1, C2, C3, C4, C5) y restando el valor ponderado del criterio "Minimizar" (C6). La decisión final de establecer el orden de prioridad en las estrategias de intervención para hacer más efectivas las auditorías de desempeño se muestran a continuación (Tabla 7).
Tabla 7. Resultados matriz normalizada y ponderada según criterios establecidos
E1 |
0.2654 |
1° Alter |
E2 |
0.2520 |
2° Alter |
E5 |
0.2490 |
3° Alter |
E4 |
0.2413 |
4° Alter |
E6 |
0.2280 |
5° Alter |
E3 |
0.2190 |
6° Alter |
E7 |
0.2255 |
7° Alter |
Conforme a los resultados obtenidos, según el método MOORA utilizado, se concluye que las tres principales estrategias a considerar para lograr mejores resultados en las auditorías de desempeño en el sector educativo en el Perú son (Tabla 8).
Tabla 8. Auditorías de desempeño en el sector educativo en el Perú
E1 |
Fortalecimiento del acceso y calidad de la información |
Desarrollar un sistema integrado de información que permita la recopilación, validación y actualización continua de datos relevantes, asegurando su disponibilidad y precisión para la auditoría. |
E2 |
Capacitación y sensibilización del personal de las entidades auditadas |
Implementar programas de capacitación dirigidos a los funcionarios de las entidades auditadas para mejorar su comprensión y cooperación en los procesos de auditoría, destacando la importancia de la transparencia y la colaboración. |
E5 |
Coordinación interinstitucional efectiva |
Establecer mecanismos de coordinación entre diferentes niveles de gobierno y entidades educativas para asegurar una implementación coherente y efectiva de las políticas educativas y facilitar el proceso de auditoría. |
Los resultados logrados, según el método propuesto, si bien consideran criterios y pesos establecidos, pueden inferirse diversos criterios al respecto. Las ponderaciones asumidas representan los resultados y limitaciones evidenciadas en las 15 auditorías de desempeño analizadas y consideradas en el presente estudio.
A la vez, de acuerdo a las Normas de Auditorías Generalmente Aceptadas y a las Normas Internacionales de Auditoría, así como a las recomendaciones señaladas por la INTOSAI para el desarrollo de auditorías de desempeño en el sector público, es de vital importancia el acceso y calidad de la información que recibe el equipo de auditoría para su análisis, así como la prestación y colaboración de los funcionarios y trabajadores a cargo de la gestión; puesto que en los fines y objetivos de la auditoría de desempeño la finalidad del informe se circunscribe a dictaminar la gestión de la entidad auditada según la dirección y procesos efectuados.
Finalmente, el tercer aspecto que resalta, según el Método MOORA, es la coordinación necesaria e imprescindible que debe existir en todo momento entre los funcionarios a cargo de diseñar las políticas públicas educativas y los diferentes niveles de gobierno responsables de su aplicación, lo que garantiza las recomendaciones resultantes de la aplicación de auditorías de desempeño en el sector.
DISCUSIÓN
Los resultados del presente estudio destacan la importancia de la auditoría de desempeño como herramienta esencial para mejorar la transparencia, eficiencia y rendición de cuentas en el sector educativo. Diversos estudios han demostrado que las auditorías de desempeño permiten optimizar la asignación de recursos y mejorar los procesos de gestión en instituciones educativas, garantizando que los recursos públicos se utilicen de manera eficaz (Parker & Guthrie, 2021).
Tomando en cuenta los objetivos de la presente investigación, en el contexto de una propuesta de cambio de políticas operativas, para optimizar la auditoría de desempeño a efectuarse en la educación pública peruana, se concluye que las tres principales estrategias a considerar para tales efectos están relacionadas con el fortalecimiento del acceso y calidad de la información, capacitación y sensibilización del personal de las entidades auditadas y la coordinación interinstitucional efectiva.
Respecto a la primera estrategia, recomendaciones basadas en auditorías previas incluyen el fortalecimiento de los sistemas de información y de los mecanismos de seguimiento, lo cual mejora significativamente la capacidad de los entes de auditoría para monitorear en tiempo real el desempeño y los resultados de las políticas educativas (Victorian Auditor-General's Office, 2018).
Del análisis efectuado en las diversas auditorías de desempeño realizadas en el sector educación, se han podido evidenciar restricciones de diferentes aspectos que limitan la efectividad de su ejecución, como la falta de alineación entre políticas nacionales y su implementación a nivel regional y local y una insuficiente supervisión y rendición de cuentas en la ejecución de estas políticas educativas. Lo señalado contraviene la implementación de análisis de costos y beneficios que las auditorías aseguren en la efectividad en el uso de recursos y optimicen la toma de decisiones, contribuyendo a la eficiencia general de los sistemas educativos (Funnell & Wade, 2012; Roseth & Jaramillo, 2018).
Además, existe desigualdad en la calidad de la infraestructura entre zonas urbanas y rurales e insuficiente acceso a recursos tecnológicos y materiales educativos en áreas remotas, seguida de una falta de seguimiento y evaluación de la efectividad de los programas de capacitación para los docentes y personal administrativo a cargo de las políticas educativas. La auditoría de desempeño debe incorporar sistemas de retroalimentación que permitan realizar ajustes a tiempo, adaptándose a las necesidades cambiantes del sector educativo. Implementar programas de capacitación para el personal administrativo y promover el uso de tecnologías avanzadas en auditoría de datos puede mejorar sustancialmente la eficiencia de los procesos y la calidad de los resultados educativos (Parker & Guthrie, 2021; DEECD, 2018).
En relación a la calidad educativa, de los resultados de las auditorías de desempeño realizados se aprecia una implementación inconsistente del currículo a nivel nacional, así como falta de adaptaciones curriculares adecuadas para estudiantes con necesidades especiales, como la persistencia de brechas significativas en los resultados de aprendizaje entre zonas urbanas y rurales, lo que arroja un desempeño bajo en comparación con estándares internacionales de aprendizaje. Los estudios revisados subrayan que el enfoque en la eficiencia y economía de recursos mejora significativamente cuando los sistemas de auditoría están bien integrados en el proceso de gestión educativa. Esto no solo garantiza el uso adecuado de los recursos, sino que también reduce costos operativos y aumenta el impacto de las intervenciones educativas, un beneficio demostrado en múltiples contextos gubernamentales (Rana et al., 2021; Power, 1997).
Por su parte, Funnell y Wade (2012) enfatizan la necesidad de contar con datos confiables y actualizados en auditorías de desempeño para evaluar efectivamente el uso de recursos y el impacto de políticas educativas. El acceso continuo a datos precisos permite a los auditores realizar evaluaciones detalladas y recomendadas. Conclusiones que coinciden con el estudio realizado por Rana et al. (2021) que subrayan la importancia de la calidad de la información para auditorías de desempeño en el sector público, argumentando que el acceso continuo y validación de datos aumenta la efectividad de la auditoría y permite una mejor adaptación a las políticas de gestión.
En relación con la necesidad de capacitación y sensibilización del personal de las entidades auditadas, los resultados igualmente son coincidentes con diversos estudios realizados, que señalan que la capacitación constante del personal administrativo en temas de auditoría y transparencia es crucial para garantizar la efectividad de las auditorías y la cooperación interinstitucional (Parker & Guthrie, 2021). Al igual, Power (1997) señala cómo la capacitación en auditoría contribuye a una comprensión más profunda de los procesos de auditoría y a la colaboración entre auditores y entidades auditadas, promoviendo la transparencia y la efectividad en la gestión pública. Igualmente, Brusca et al. (2016) concluyeron que la capacitación en auditoría de desempeño permite a las entidades auditadas adoptar prácticas de gestión más transparentes y efectivas, mejorando la comunicación y cooperación en el proceso.
Por su parte, los estudios realizados por Funnell y Wade (2012) destacan que la capacitación continua de los funcionarios de las entidades auditadas promueve una mayor comprensión de los objetivos de la auditoría, lo cual facilita la cooperación y la eficiencia en el uso de los recursos destinados por la gestión en el proceso de auditoría. En cuanto a un adecuado planeamiento de programas de capacitación, Guthrie y Parker (2019) enfatizan la necesidad de programas de capacitación en auditorías de desempeño para mejorar la comprensión de los funcionarios sobre el valor de la transparencia y colaboración en el proceso de auditoría.
En relación con la importancia de establecer mecanismos de coordinación entre niveles de gobierno y entidades educativas para asegurar una implementación coherente y efectiva de políticas, facilitando el proceso de auditoría de desempeño, los resultados de la presente investigación evidencian la necesidad de dicha estrategia. Pollitt (2003) destaca la necesidad de una coordinación intergubernamental sólida en auditorías de desempeño para asegurar la coherencia en la aplicación de políticas, particularmente en el ámbito educativo, donde múltiples niveles de gobierno intervienen en la gestión y financiamiento. Del mismo modo, la investigación efectuada por Jeppesen y Loft (2017) enfatiza que la colaboración y coordinación entre diferentes niveles de gobierno son esenciales en la auditoría de desempeño para asegurar la consistencia en la implementación de políticas y la alineación de los objetivos educativos.
Por su parte, Guthrie y Parker (2019) exploran cómo la coordinación interinstitucional en auditorías de desempeño promueve una ejecución más eficaz de las políticas públicas, mejorando la rendición de cuentas en el sector educativo, situación que en el marco de las estrategias de interrelación de políticas públicas regionales y locales en el país se hace imprescindible por las distancias y ausencia de recursos presupuestales y logísticos necesarios. Estas necesidades son señaladas, igualmente, por Brusca et al. (2016), que destaca la relevancia de una coordinación efectiva entre distintos niveles gubernamentales y agencias en la auditoría de desempeño para implementar políticas educativas de manera uniforme y efectiva.
La implementación de recomendaciones de auditoría de desempeño ha llevado a mejoras significativas en los métodos de enseñanza y en el currículo educativo, lo que ha resultado en un incremento de la calidad educativa (Vargas, 2018), generando un impacto de mejor capacitación docente, y ha llevado a una mejora en las prácticas de enseñanza y, en consecuencia, en el rendimiento estudiantil.
A su vez, un estudio de la Universidad del Pacífico reveló que las recomendaciones de auditorías de desempeño han permitido una mejor asignación de los recursos financieros y materiales dentro del sector educativo (López, 2017), con una mejor distribución equitativa de recursos; implementándose mecanismos para asegurar que los recursos lleguen a las escuelas más necesitadas, reduciendo las disparidades entre las áreas urbanas y rurales.
Además, las recomendaciones han llevado a una gestión más eficiente del presupuesto, evitando desperdicios y garantizando que cada sol invertido tenga un impacto positivo en la educación, mejorando la transparencia y rendición de cuentas; es decir, las auditorías de desempeño han incrementado la transparencia en la gestión del Ministerio de Educación (García, 2019) generando mayor confianza pública, así como, al abordar áreas propensas a la corrupción, se ha mejorado la integridad del sistema educativo.
Con respecto a la mejora de la infraestructura escolar, la implementación de recomendaciones ha resultado en mejoras significativas en esta, proporcionando un entorno de aprendizaje más adecuado y seguro para los estudiantes (Rodríguez, 2020); se han construido nuevas escuelas y se ha dado mantenimiento a las existentes, lo que ha mejorado las condiciones de aprendizaje, así como las recomendaciones han llevado a la provisión de recursos tecnológicos, lo que ha modernizado las prácticas educativas y facilitado el aprendizaje.
En relación con la propuesta de las auditorías de desempeño en el sector educativo del Perú, tienen una influencia significativa en los indicadores de economía, eficiencia y eficacia, ayudando a mitigar riesgos y mejorar la gestión del sistema educativo. Basado en tesis e investigaciones realizadas en el Perú, se puede observar cómo estas auditorías impactan positivamente en estos indicadores. Según Vargas (2018), las auditorías de desempeño han permitido identificar áreas de gasto innecesario y han propuesto medidas correctivas que optimizan el uso de los recursos financieros. Esta optimización incluye la reducción de costos operativos y la eliminación de gastos superfluos, asegurando que los fondos se utilicen de manera más eficiente.
López (2017) destaca que las auditorías de desempeño han mejorado la eficiencia en la gestión de las escuelas, optimizando la relación costo-beneficio de las inversiones en infraestructura educativa. Las auditorías han promovido prácticas de gestión más efectivas y han facilitado la implementación de tecnologías que mejoran la administración escolar.
Por su parte, García (2019) muestra cómo las auditorías de desempeño han influido positivamente en la calidad de la educación, permitiendo identificar y corregir deficiencias en los métodos de enseñanza y en el currículo educativo. Esto ha resultado en una mejora en los resultados de aprendizaje de los estudiantes, generando progreso en la calidad educativa. La implementación de recomendaciones de auditoría ha llevado a una actualización de los currículos y métodos de enseñanza, mejorando los resultados académicos.
Esta medida, como eficacia de sus intervenciones, ha sido valorada por el aumento en las tasas de graduación y el mejor desempeño en evaluaciones nacionales e internacionales.
Como conclusiones del estudio, se establece que:
REFERENCIAS BIBLIOGRÁFICAS
Brusca, I., Gómez-Villegas, M., & Montesinos, V. (2016). Public Financial Management Reforms: The Role of Performance Auditing. Public Money & Management, 36(7), 482-488.
Funnell, W., & Wade, M. (2012). Performance Auditing: Conceptual and Practical Issues. International Journal of Public Sector Management, 25(5), 398-412.
Guthrie, J., & Parker, L. (2019). The Role and Impact of Performance Audit in Public Governance. Public Money & Management, 39(3), 191-200. https://link.springer.com/chapter/10.1007/978-3-319-50164-2_2
Jeppesen, K. K., & Loft, A. (2017). Strategic and Institutional Challenges in Performance Auditing. Financial Accountability & Management, 33(1), 4-27. https://repository.essex.ac.uk
Johnsen, Å., et al. (2019). Performance Auditing in the Public Sector: A Systematic Review. Financial Accountability & Management. https://repository.essex.ac.uk
Jovanoviæ, M., & Pravdiæ, M. (2010). Balanced Scorecard in the Public Sector. International Public Management Journal, 13(4), 321-338. https://journals.sagepub.com
Parker, L., & Guthrie, J. (2021). The Role and Impact of Performance Audits on Public Governance. Public Money & Management, 41(3), 129-140.: https://link.springer.com/chapter/10.1007/978-3-319-50164-2_2
Pollitt, C. (2003). Performance Audit in Western Europe: Trends and Directions. Public Performance & Management Review, 26(3), 265-283.
Power, M. (1997). The Audit Society: Rituals of Verification. Oxford University Press. https://academic.oup.com
Rana, M., Parker, L., & Guthrie, J. (2021). Systematic Literature Review of Performance Auditing in Public Sector. Journal of Financial Accountability, 47(2), 134-148. https://www.journalrepository.com
Victorian Auditor-General's Office. (2018). Performance Reporting Systems in Education. Victorian Auditor-General's Report. https://www.audit.vic.gov.au
Conflicto de intereses
Los autores declaran no tener conflictos de intereses.
Contribución de los autores
Los autores participaron en el diseño y redacción del artículo, en la búsqueda y análisis de la información contenida en la bibliografía consultada.